Un ghid cu sfaturi pentru rezolvarea subiectului de Geografie – Bacalaureat 2024 a fost oferit de profesoara Simona Mirea de la Colegiul Național „Sfântul Sava” pentru cititorii Edupedu.ro. Candidaților le este recomandat să folosească o riglă pentru interpretarea și citirea cu exactitate a datelor, la subiectul al III-lea, subpunctul A.
„Timpul alocat probei de Bacalaureat la disciplina Geografie este suficient. În cele trei ore subiectele le puteți rezolva mai întâi pe ciornă. Transcrieți-le apoi cu mare atenție pe foaia de examen”, le transmite profesoara Mirea absolvenților de liceu.
Aceasta a venit cu mai multe indicații în sprijinul candidaților la examenul de Bacalaureat, pentru fiecare cerință în parte, și spune că „harta este un element de sprijin în învățarea geografiei, iar dacă v-ați pregătit pentru acest examen având alături suportul acesteia, rezolvarea cerințelor va fi făcută cu succes”.
Calendar BAC 2024 pe scurt:
- 1 iulie 2024: Limba și literatura română – proba E.a) – proba scrisă
- 2 iulie 2024: Proba obligatorie a profilului – proba E.c) – proba scrisă
- 4 iulie 2024: Proba la alegere a profilului și specializării – proba E.d) – proba scrisă
- 5 iulie 2024: Limba și literatura maternă – proba E.b) – proba scrisă
Seria de articole cu sfaturi pentru probele de BAC 2024 poate fi accesată aici – edupedu.ro/tag/sfaturi-bac/ și se va actualiza pe măsură ce publicăm ghidurile cu indicații de la profesori.
Redăm integral ghidul scris de profesoara Simona Mirea:
„Proba la disciplina geografie din cadrul examenului de Bacalaureat este structurată și anul acesta pe trei subiecte, fiecare cu subpuncte A, B, C, D, E ce vizează:
Subiectul I – Geografia Europei;
Subiectul al II-lea – Geografia României;
Subiectul al III-lea – Geografia Europei, Geografia României și Uniunea Europeană.
„Prima pagină de geografie a fost harta” – după cum spunea marele geograf român Simion Mehedinți. Atât Subiectul I cât și Subiectul al II-lea au, ca suport cartografic, harta.
Subiectul I începe cu harta Europei pe care sunt marcate cu litere state, iar cu numere- orașe capitală. Pornind de la hartă:
- Subpunctele A și B solicită răspunsuri scurte de tipul identificării și precizării anumitor aspecte din Geografia Europei;
- Subpunctul C este tip grilă, cu o singură variantă corectă de răspuns; pentru acest subpunct scrieți pe foaia de examen doar litera corespunzătoare răspunsului corect (conform cerinței).
Cei care cunosc bine harta vor răspunde cu ușurință la aceste trei subpuncte.
- Subpunctul D solicită comparația între clima a două state europene. Atenție la notele ce însoțesc cerința și mai ales, realizați fiecare aspect al comparației printr-o frază urmărind același element al climei pentru fiecare stat, folosind o expresie care să scoată în evidență deosebirea.
Exemplu: Statul marcat, pe hartă, cu litera X are climă mediteraneeană, spre deosebire de statul marcat, pe hartă, cu litera Y care are climă temperat – continentală.
- Pentru Subpunctul E formulați răspunsuri scurte (punctuale) dacă vi se cere să precizați sausă menționați aspecte geografice, iar atunci când vi se cere să prezentați sau să explicați – formulați răspuns dezvoltat (frază) de tip cauză – efect.
Acest subpunct testează capacitatea de a explica realități geografice simple, aspecte din viața de zi cu zi etc.
Subiectul al II-lea pornește de la harta României pe care sunt marcate cu litere, unități de relief, iar cu numere, râuri și orașe cu peste 50.000 locuitori (Atenție la legendă! – râurile sunt indicate prin săgeți cu numere, iar orașele prin puncte cu numere);
- are aceeași structură cu cea a Subiectului I, recomandările pentru subpunctele A, B, C, E sunt valabile și aici;
- Subpunctul D care solicită comparația între două unități de relief marcate pe hartă, păstrează cele trei note de subsol; redactarea frazelor se va face urmărind același aspect al reliefului la fiecare unitate.
Exemplu: Unitatea marcată, pe hartă, cu litera X s-a format prin sedimentare, spre deosebire de unitatea marcată, pe hartă, cu litera Y care s-a format prin cutarea și înălțarea scoarței terestre. (în exemplul dat deosebirea s-a făcut luând în considerare doar modul de formare).
Subiectul al III-lea prezintă tot un număr de cinci subpuncte A, B, C, D, E dar itemii sunt diferiți.
Subpunctul A – pe baza unei reprezentări grafice ce poate reda aspecte actuale ale unor elemente de Geografie fizică, umană sau economică, se testează citirea și interpretarea corectă a datelor înscrise conform legendei, dar și operații elementare de matematică. Este bine ca pentru interpretarea și citirea cu exactitate a datelor înscrise să vă ajutați de o riglă (aveți voie cu acest instrument în sala de examen).
Subpunctul B – tot pe baza reprezentării grafice vi se poate cere să precizați sau să realizați calcule matematice simple (Sfat: Rezolvați calculele pe ciornă, iar pe foaia de examen scrieți răspunsul corect).
La Subpunctul C – răspundeți punctual, precizând aspectele cerute pentru unul dintre statele vecine României sau pentru unul dintre cele șapte state ale Uniunii Europene propuse ca studiu de caz (vă puteți ajuta de harta de la Subiectul I pentru a nu greși precizarea statelor vecine).
Subpunctele D și E solicită interpretarea unor date înscrise într-un tabel sau explicarea unor procese/fenomene/aspecte din realitatea geografică europeană, românească ori a unor probleme actuale de interes din sfera Uniunii Europene. Citiți datele înscrise în tabel și aveți grijă în continuare la nuanțele: precizați (răspundeți pe scurt) prezentați/ explicați (fraze, răspuns dezvoltat).
Sfaturi la final:
- Timpul alocat probei de Bacalaureat la disciplina Geografie este suficient. În cele trei ore subiectele le puteți rezolva mai întâi pe ciornă. Transcrieți-le apoi cu mare atenție pe foaia de examen.
- Organizați răspunsurile pe cât posibil în ordinea subiectelor probei (nu este greșit să le rezolvați în ce ordine doriți sau știți, dar la final verificați dacă ați scris rezolvările pentru toate cerințele sau dacă le-ați transcris de pe ciornă).
- Atenție sporită la întrebările de tip grilă: literele să fie scrise citeț, iar la cele de precizat denumiri geografice aveți grijă să le scrieți corect.
- Dacă ați terminat lucrarea înainte de expirarea timpului, încercați să reluați subiectele pe care nu le-ați știut inițial să le rezolvați; ajutați-vă de hărțile suport. Este posibil ca la a doua sau a treia încercare să vă amintiți și să găsiți răspunsul potrivit.
- Nu uitați că harta este un element de sprijin în învățarea geografiei, iar dacă v-ați pregătit pentru acest examen având alături suportul acesteia, rezolvarea cerințelor va fi făcută cu SUCCES!”
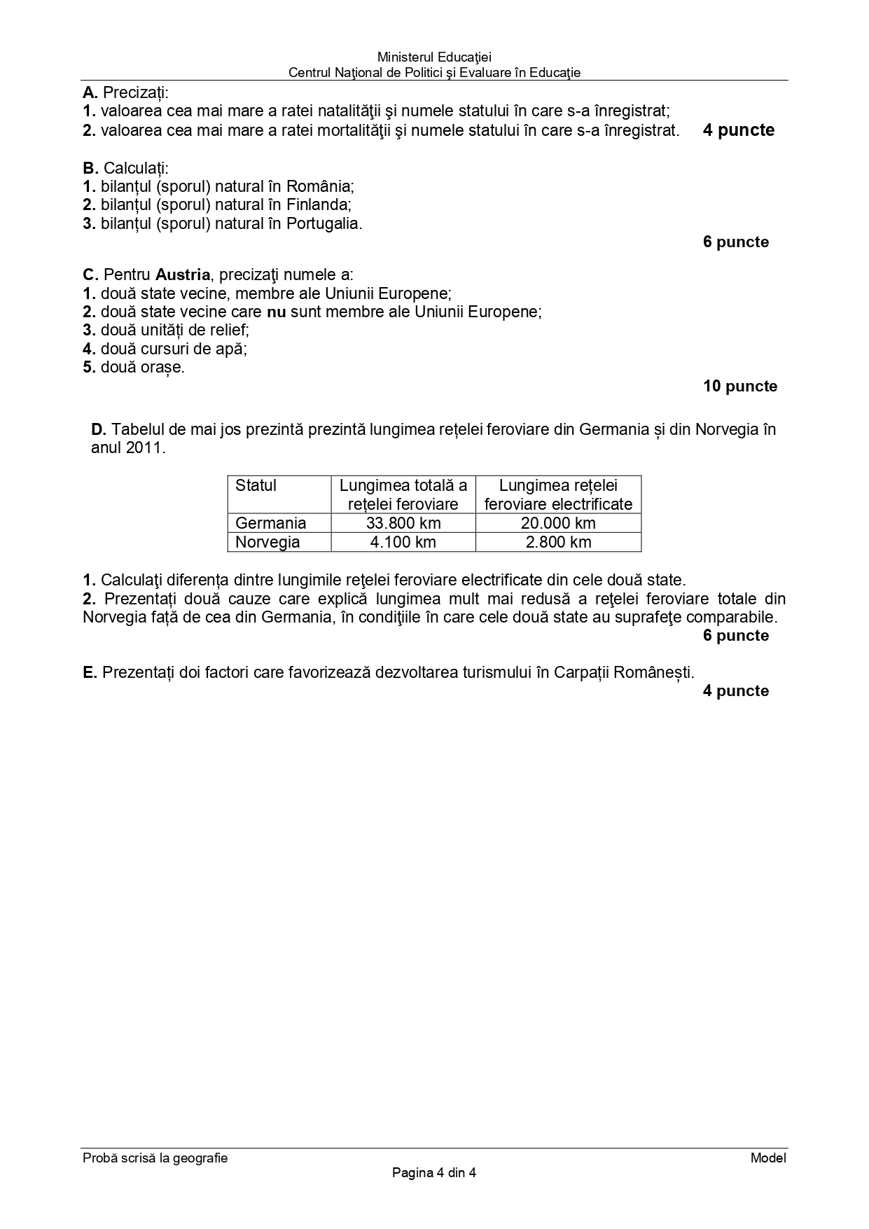
MODEL Subiect BAC 2024 Geografie (sursa):
- Baremul subiectului de mai sus:
3 – 7 iunie 2024: Înscrierea candidaților la prima sesiune de examen
7 iunie 2024: Încheierea cursurilor pentru clasa a XII-a/a XIII-a
17 – 19 iunie 2024: Evaluarea competențelor lingvistice de comunicare orală în limba română – proba A19 – 20 iunie 2024: Evaluarea competențelor lingvistice de comunicare orală în limba maternă – proba B19 – 21 iunie 2024: Evaluarea competențelor digitale – proba D25 – 27 iunie 2024: Evaluarea competențelor lingvistice într-o limbă de circulație internațională – proba C
- 1 iulie 2024: Limba și literatura română – proba E.a) – proba scrisă
- 2 iulie 2024: Proba obligatorie a profilului – proba E.c) – proba scrisă
- 4 iulie 2024: Proba la alegere a profilului și specializării – proba E.d) – proba scrisă
- 5 iulie 2024: Limba și literatura maternă – proba E.b) – proba scrisă
8 iulie 2024: Afișarea rezultatelor la probele scrise până la ora 12.00) și depunerea contestațiilor în intervalul orar 12.00 – 18.00
9 – 11 iulie 2024: Rezolvarea contestațiilor
12 iulie 2024: Afișarea rezultatelor finale
