Astăzi, 29 mai, școlile și inspectoratele școlare afișează lista candidaților admiși în clasa pregătitoare și numărul de locuri rămase libere după prima etapă, conform calendarului de înscriere în învățământul primar. În București au fost admiși 16.576 de copii, dintre care 14.932 de copii în școlile de masă publice, fără taxa și au rămas 2.791 de locuri libere in școli publice și private pentru a doua etapă de înscriere, care începe pe 31 mai, conform Inspectoratului Școlar al Municipiului București.
În București, au fost disponibile în total 19.367 de locuri pentru clasa pregătitoare și au fost aprobate 902 de clase, potrivit ISMB.
Total număr admiși etapa I – 16.576
Total număr locuri libere pentru etapa a II-a – 2.791
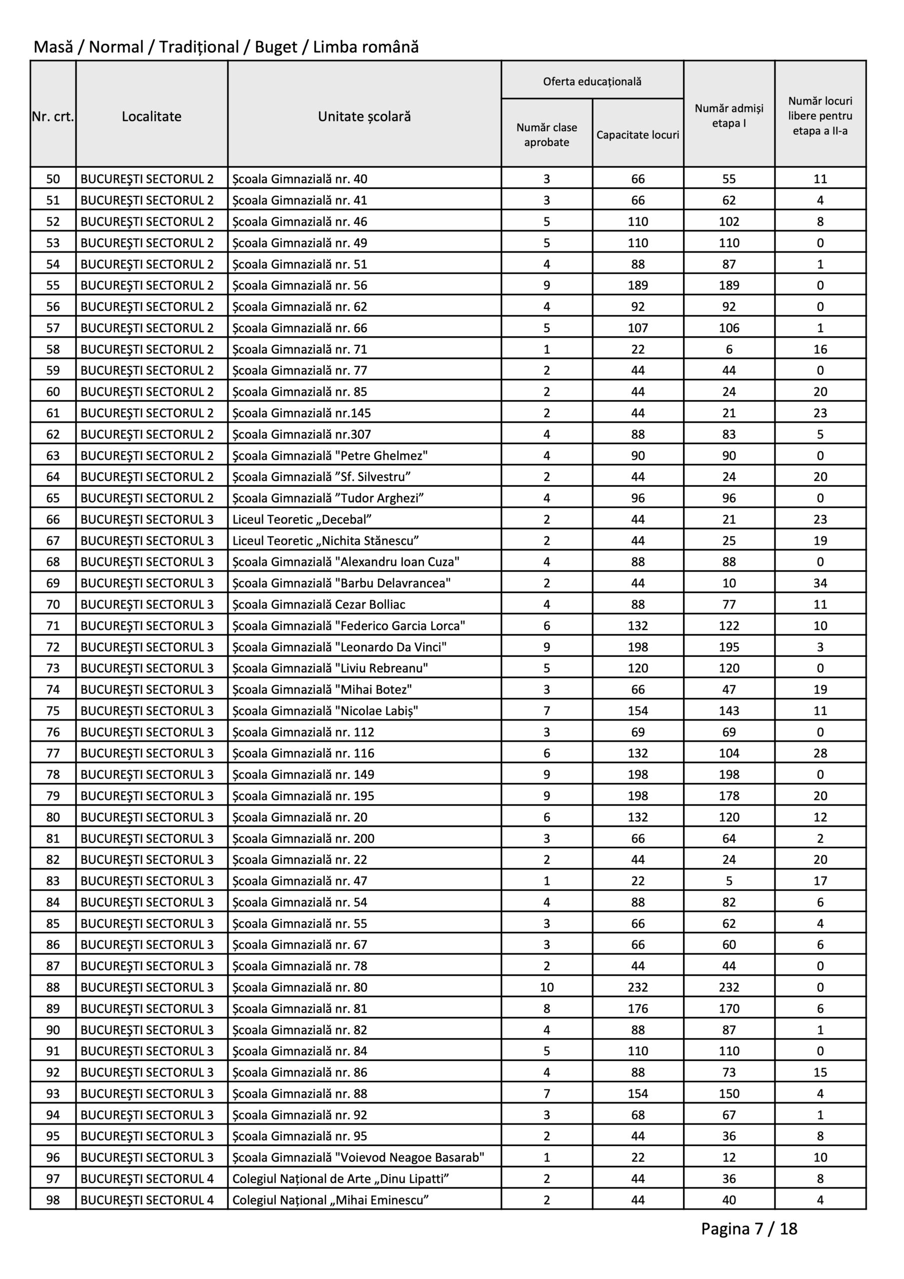
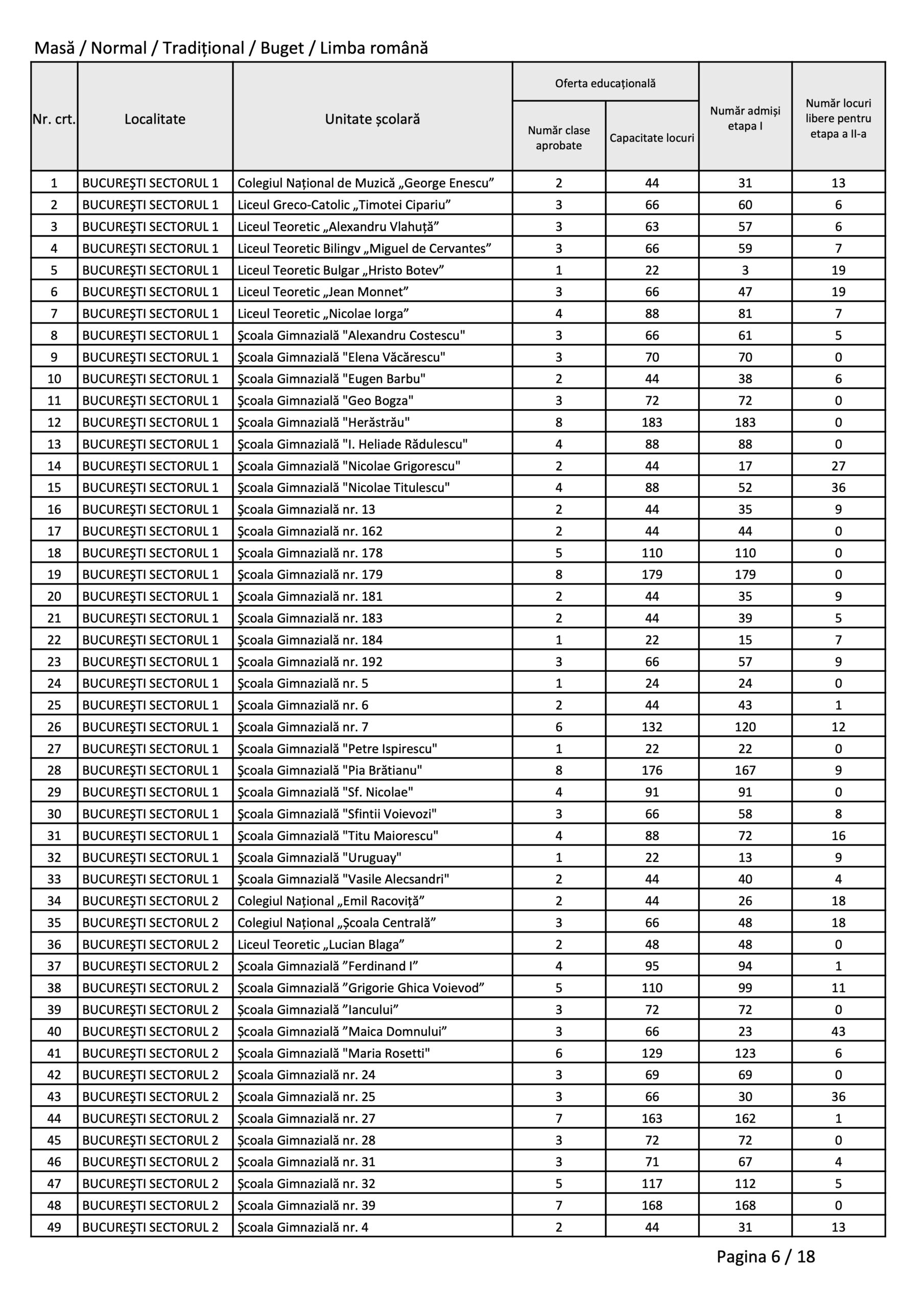
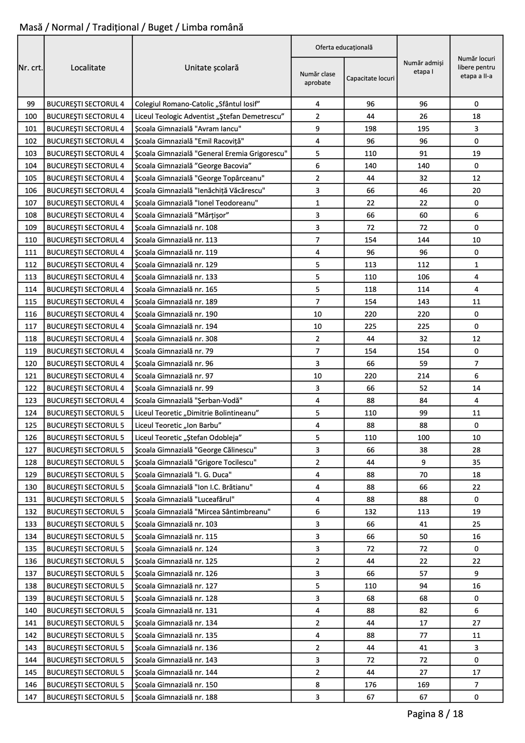
Lista cu locurile libere la școlile publice din București
Lista cu numărul total de locuri libere la școlile din București
Calendar înscriere în clasa pregătitoare 2024, etapa a II-a
„30 mai 2024 – Comunicarea, prin afișare la unitățile de învățământ și pe site-ul
inspectoratului, a procedurii specifice de repartizare a copiilor pe locurile disponibile, elaborată de inspectoratul școlar;
Informarea Ministerului Educației de către Comisia județeană/a municipiului București, cu privire la procedura specifică de repartizare a copiilor pe locurile disponibile, în etapa a doua. Procedurile vor viza modalități de comunicare și transfer de documente on-line, după caz.
31 mai – 7 iunie 2024 Depunerea/transmiterea cererii-tip de înscriere la secretariatul
unității de învățământ aflate pe prima poziție dintre cele trei opțiuni exprimate pentru etapa a doua de către părinții copiilor care nu au fost cuprinși în nicio unitate de învățământ în etapa anterioară sau care nu au participat la prima etapă.
10 iunie – 14 iunie 2024 Validarea cererilor-tip de înscriere la unitatea de învățământ aflată pe prima poziție în opțiunile privind înscrierea copiilor.
17 iunie – 21 iunie 2024 Procesarea la nivelul unităților de învățământ a cererilor-tip de înscriere depuse de părinți/tutori legal instituiți/reprezentanți legali, aplicând procedura specifică elaborată de inspectoratul școlar, pe baza criteriilor generale și a celor specifice de departajare, în limita locurilor disponibile;
Completarea în aplicația informatică a datelor din cererile-tip de înscriere pentru candidații înscriși în această etapă.
21 iunie 2024 Afișarea la fiecare unitate de învățământ a listelor finale ale copiilor înscriși în clasa pregătitoare.
2 septembrie – 6 septembrie 2024 Centralizarea și soluționarea de către inspectoratul școlar a cererilor părinților/ tutorilor legal instituiți/ reprezentanților legali ai copiilor care nu au fost încă înscriși la o unitate de învățământ.
Soluționarea de către inspectoratul școlar a oricărei alte situații referitoare la înscrierea în învățământul primar, având în vedere, cu prioritate, interesul superior al copilului.”
Foto: © Waldru | Dreamstime.com / Dreamstime.com sprijină educaţia din România şi oferă gratuit imagini stock prin care Edupedu.ro îşi poate ilustra articolele cât mai relevant posibil / Campania Back to school oferă posibilitatea oricărei școli, profesor sau elev să descarce imagini de calitate cu 50% discount.
