Un cadru didactic debutant, care s-a înscris la definitivat în primul an după ce s-a titularizat, o să obțină o mărire de salariu, după definitivarea în Învățământ, de doar 52 de lei, potrivit grilelor pentru anul 2024. De menționat este că definitivarea în Învățământ presupune două etape. Prima etapă constă în evaluarea portofoliului profesional personal şi în susţinerea a cel puţin două inspecţii la clasă. A doua etapă, cea finală, are loc la finalizarea stagiului practic cu durata de un an şcolar şi constă într-o examinare scrisă, pe baza unei tematici şi a unei bibliografii aprobate de Ministerul Educaţiei.
- Înscrierea profesorilor la Definitivat 2024 s-a făcut până la data de 13 octombrie. Proba scrisă este programată pe 24 iulie, potrivit calendarului.
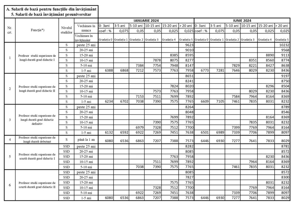
Din ianuarie 2024, salariul de bază al unui profesor debutant cu studii de lungă durată este de 6.080 de lei. Creșterile au fost obținute ca urmare a grevei generale a profesorilor, nu prin decizie voluntară a Guvernului.
- Salariile menționate în articol sunt cele brute.
Dacă profesorul debutant cu studii de lungă durată se definitivează în învățământ, atunci salariul de bază crește de la 6.080 lei și până la 6.132. Acest lucru înseamnă o creștere de 52 de lei.
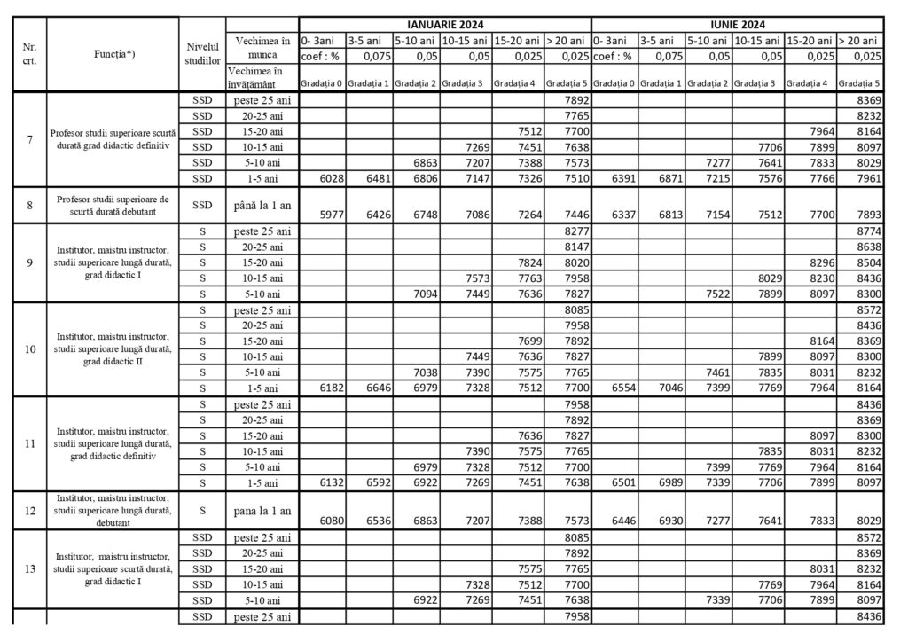
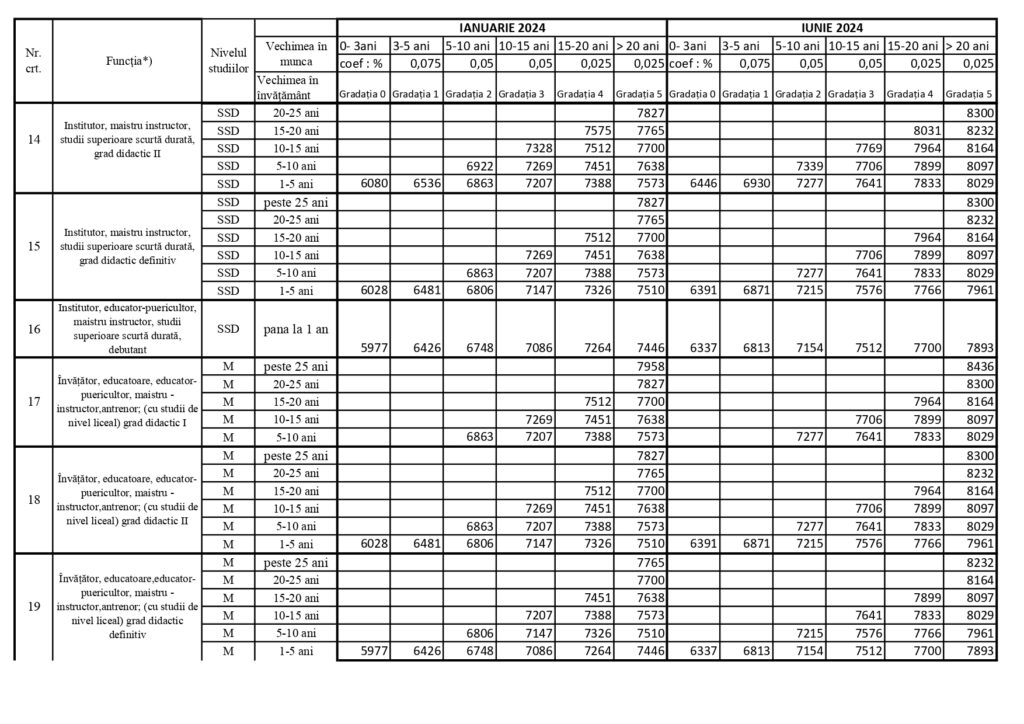
Grilele pentru 2024 pot fi consultate mai jos:
Planificarea inspecțiilor pentru Definitivat 2024 a fost publicată de Inspectoratul Școlar al Municipiului București (ISMB). Prima inspecție de specialitate a avut loc până la 9 februarie, iar a doua inspecție de specialitate până la 31 mai, după cum se arată în calendarul oficial.
Edupedu.ro a scris că inspecțiile de specialitate din cadrul examenului pentru definitivare în învăţământ se pot organiza și desfăşura și în sistem online, la decizia inspectoratelor şcolare, fundamentată pe analiza situațiilor specifice din unitatea/unitățile de învățământ din județ/ municipiul Bucureşti, potrivit unei adrese a Ministerului Educației din 19 septembrie 2023.
Despre definitivat
Concursul de definitivat reprezintă un examen de intrare și avansare în cariera didactică. Examenul poate fi susținut de cadrele didactice care au cel puțin un an vechime în învățământ și este obligatoriu pentru obținerea gradelor didactice. Procedura de acordare a definitivării și a titlului de profesor cu drept de practică în învățământul preuniversitar reprezintă recunoașterea competențelor necesare pentru exercitarea profesiei didactice.
Examenul naţional de definitivare în învăţământ cuprinde:
- etapa I, eliminatorie – realizată de către inspectoratele şcolare în perioada stagiului practic cu durata de un an şcolar şi constând în evaluarea activităţii profesionale la nivelul unităţii de învăţământ, evaluarea portofoliului profesional personal şi în susţinerea a cel puţin două inspecţii la clasă;
- etapa a II-a, finală – realizată la finalizarea stagiului practic cu durata de un an şcolar şi constând într-o examinare scrisă, pe baza unei tematici şi a unei bibliografii aprobate de Ministerul Educaţiei, pentru fiecare specialitate în parte.
Cadrele didactice care promovează examenul de definitivat dobândesc titlul de profesor cu drept de practică în învăţământul preuniversitar.
Cadrelor didactice angajate cu contract de muncă pe o perioadă determinată, care au promovat examenul de definitivare în învăţământ, li se poate asigura continuitatea pe postul didactic/catedra ocupat(ă), prin hotărârea consiliului de administraţie din unitatea de învăţământ respectivă, în condiţiile legii.
Persoanele care nu promovează examenul de definitivare în învăţământ, în condiţiile prezentului articol, pot fi angajate în sistemul naţional de învăţământ preuniversitar numai pe perioadă determinată, cu statut de profesor debutant.
Examenul de definitivat se organizează în condițiile Legii educației naționale nr. 1/2011 până în anul școlar 2027-2028, conform Legii învățământului preuniversitar 198/2023.
Despre salariile profesorilor
La sfârșitul lunii decembrie 2023, Guvernul a adoptat proiectul de ordonanță de urgență care stabilește salariile din învățământ de la 1 ianuarie 2024. Potrivit acestuia, cele mai mari creșteri sunt pentru funcțiile administrative, atât în mediul academic (19% pentru rectori) cât și în cel preuniversitar (26-28% pentru inspectori și aproape 30% pentru directorii de școli).
Iată ce prevede Ordonanța urgență nr. 128 din 28 decembrie 2023:
Articolul II – „(1) Începând cu salariile aferente lunii ianuarie 2024, prin derogare de la dispozițiile art. 12 alin. (2) din Legea- cadru nr. 153/2017, cu modificările și completările ulterioare, salariile de bază pentru personalul didactic auxiliar din cadrul bibliotecilor centrale universitare, personalul Bibliotecii Naționale a României și Bibliotecii Academiei Române, precum și pentru celelalte categorii de funcții prevăzute în anexele la Legea-cadru nr. 153/2017, cu modificările și completările ulterioare, și care au calitatea de personal didactic auxiliar, conform Legii învățământului preuniversitar nr. 198/2023, cu modificările ulterioare, și Legii învățământului superior nr. 199/2023, cu modificările și completările ulterioare, și care își desfășoară activitatea în sistemul național de învățământ și care nu se regăsesc în anexa prevăzută la art. I se majorează cu 8% față de nivelul salariilor de bază aflate în plată în luna decembrie 2023, respectiv se majorează cu 12% începând cu salariile aferente lunii iunie 2024 față de nivelul salariilor de bază aflate în plată în luna decembrie 2023.
(2) Începând cu salariile aferente lunii ianuarie 2024, prin derogare de la dispozițiile art. 12 alin. (2) din Legea-cadru nr. 153/2017, cu modificările și completările ulterioare, salariile de bază pentru personalul administrativ/nedidactic din sistemul național de învățământ se majorează, începând cu data de 1 ianuarie 2024, cu 250 de lei față de nivelul salariilor de bază la gradația 0 de vechime în muncă din luna decembrie 2023, respectiv se majorează cu 450 de lei începând cu salariile aferente lunii iunie 2024 față de nivelul salariilor de bază la gradația 0 de vechime în muncă din luna decembrie 2023.
(3) Începând cu salariile aferente lunii ianuarie 2024, prin derogare de la dispozițiile art. 12 alin. (2) din Legea-cadru nr. 153/2017, cu modificările și completările ulterioare, salariile de bază ale personalului din instituțiile și unitățile care funcționează în subordinea sau în coordonarea Ministerului Educației, altul decât cel prevăzut la alin (1) și (2), se majorează cu 8% față de nivelul salariilor de bază din luna decembrie 2023, respectiv se majorează cu 12% începând cu salariile aferente lunii iunie 2024 față de nivelul salariilor de bază din luna decembrie 2023.”
O analiză Edupedu.ro a arătat cum salariile profesorilor sunt în urma economiei: salariile din școli au crescut, în medie, cu 230% din 2010 și până în 2024, într-o economie unde salariile medii și minime au crescut cu 312%, respectiv 450% în aceeași perioadă. Cu alte cuvinte, atunci când este comparat cu doi indicatori esențiali – salariul minim pe economie și salariul mediu pe economie –, salariul profesorului nu rezistă.
Pentru profesorul debutant, cel care ar fi trebuit să aibă un salariu net, în mână, de 4.600 de lei pe lună de la 1 ianuarie 2024, conform declarației ministrului Muncii de la pupitrul Guvernului României din 12 iunie 2023, salariul este crescut de la 3.300 de lei și până la 3.550 de lei, deci o creștere de 250 de lei pe net.
În 14 iulie, profesorii au primit salariile majorate, după greva din luna mai a profesorilor. Condiția pentru suspendarea grevei a fost adoptarea unei ordonanțe de urgență care să prevadă faptul că salariul debutantului va fi cât cel mediu pe economie și creșterea salarială de 50% din diferența între salariile actuale și cele din grila nouă, la 1 ianuarie 2024.
Pe 15 iunie, în discursul său din Parlament, Marcel Ciolacu, președinte PSD, le-a promis profesorilor și angajaților din învățământ că va livra “la milimetru” ce a promis împreună cu Nicolae Ciucă, fost premier:
„Când vine vorba de educație, speranța nu va fi o opțiune pentru mine, ca prim-ministru. Voi livra la milimetru ce am promis împreună cu președintele Senatului, Nicolae Ciucă, iar cea mai mare garanție, dincolo de orice ordonanțe sau legi, este aceea că fac parte din partidul care a livrat deja și medicilor ce a promis. Sunt pregătit să discut oriunde și oricât cu profesorii pentru a găsi împreună soluțiile corecte”, a declarat Marcel Ciolacu.
Calendarul pentru Definitivat 2024:
Până la 13 octombrie 2023: Înscrierea candidaților la unitățile de învățământ;
3—13 octombrie 2023: Emiterea deciziilor de constituire a comisiilor de examen județene/Comisiei de Examen a Municipiului București;
16—27 octombrie 2023: Transmiterea dosarelor de înscriere la inspectoratul școlar, verificarea și avizarea acestora, conform graficului elaborat și comunicat de fiecare inspectorat școlar;
Înștiințarea candidaților cu privire la admiterea sau respingerea dosarului de înscriere;
Până la 31 mai 2024: Efectuarea inspecțiilor de specialitate:
- a) prima inspecție de specialitate până la 9 februarie;
- b) a doua inspecție de specialitate până la 31 mai.
3—14 iunie 2024: Completarea dosarelor și validarea datelor de înscriere existente în aplicația informatică specifică;
24 iulie 2024: Susținerea probei scrise;
30 iulie 2024: Afișarea rezultatelor inițiale;
30—31 iulie 2024: Înregistrarea contestațiilor;
31 iulie—5 august 2024: Soluționarea contestațiilor;
6 august 2024: Afișarea rezultatelor finale;
6—9 august 2024: Transmiterea la Ministerul Educației a tabelelor nominale cu rezultatele candidaților promovați;
12—26 august 2024: Validarea rezultatelor examenului prin ordin al ministrului educației;
Foto: © Lacheev | Dreamstime.com / Dreamstime.com sprijină educaţia din România şi oferă gratuit imagini stock prin care Edupedu.ro îşi poate ilustra articolele cât mai relevant posibil / Campania Back to school oferă posibilitatea oricărei școli, profesor sau elev să descarce imagini de calitate cu 50% discount.
