Directoarea Colegiului Tehnic din Motru care ar fi deturnat banii pentru bursele profesionale pentru 132 de elevi, în anul școlar 2020-2021, a fost cercetată disciplinar, după cum se arată în raportul Corpului de Control al Ministerului Educației nr. 839 din 26 martie 2021. Raportul a fost trimis redacției Edupedu.ro de către Valeriu Drulă, reprezentantul legal al Primăriei Municipiului Motru, membru în Consiliul de Administrație al unității de învățământ.
Acesta precizează că directoarea Colegiului Tehnic din Motru, Adela Rușeț, „induce în eroare instituțiile statului şi opinia publică, prin prezentarea ca mincinoasă a unei fapte adevărate”.
Amintim că Valeriu Drulă a redactat un memoriu adresat Ligiei Deca și a semnalat că 132 de elevi, în anul școlar 2020-2021, nu au beneficiat de bursa profesională, acuzând-o pe directoarea Adela Rușeț.
La rândul ei, directoarea Colegiului Tehnic din Motru a contactat Edupedu.ro și a negat acuzațiile aduse în memoriul redactat de reprezentantul legal al Primăriei Municipiului Motru, membru în Consiliul de Administrație al unității de învățământ. Potrivit directoarei Adela Rușeț, în anul școlar în care elevii nu au primit banii pentru bursele profesionale, acesta nu a mai ocupat funcția de conducere a unității de învățământ, deoarece și-a dat demisia pe data de 2 octombrie 2020:
„Eu mi-am înaintat demisia în 2 octombrie 2020, pentru că așa am dorit, nu din ilegalități, cum sunt menționate în acel memoriu. (…) În 2 octombrie 2020, creditele pentru bursele profesionale nu erau în contabilitatea unității, pentru că aceste credite se solicită de către unitatea de învățământ după ce se stabilesc beneficiarii burselor, după ce se aprobă lista beneficiarilor de burse profesionale și se comunică la Inspectoratul Școlar Județean Gorj. La 2 octombrie, lista beneficiarilor de burse profesionale era întocmită. Din 2 octombrie, eu nu am mai fost director. (…) Lista beneficiarilor a fost aprobată de Consiliul de Administrație al unității școlare, la care și eu am participat, că făceam parte ca membru ales de cadrele didactice în Consiliul de Administrație. Și acea listă a fost aprobată lunar și transmisă la inspectorat atât pentru luna septembrie, cat și pentru octombrie, noiembrie. Listele cu elevii beneficiari au fost aprobate în Consiliul de Administrație și transmise la inspectorat. Solicitarea de deschidere de credite o realizează conducătorul instituției, împreună cu contabilitatea unității. Deci, director în funcție a fost domnul Manciu Ștefan”, a spus aceasta.
Ulterior, directoarea a participat la concursul de directori și a revenit în funcția de conducere a liceului.
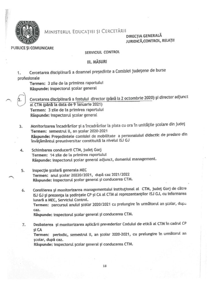
În raportul Corpului de Control al Ministerului Educației nr. 839 din 26 martie 2021 se arată că bursele profesionale trebuie acordate elevilor, iar fosta directoare a Colegiului Tehnic din Motru este una dintre persoanele responsabile pentru neacordarea acestora. Una dintre măsuri a fost cercetarea disciplinară a acesteia.
Redăm textul lui Valeriu Drulă:
„Subsemnatul DRULĂ VALERIU, (…), membru al Consiliului de Administratie al Liceului Tehnologic Motru, în calitate de reprezentant al Primarului Municipiului Motru, vă prezint următoarele:
În Raportul de control întocmit de Ministerul Educației și Cercetării, la cap. III – Măsuri, pct. 2, s-a dispus cercetarea disciplinară a fostului director – RUSET ADELA LELIA (până la 2 octombrie 2020) și directorului adjunct al Colegiului Tehnic Motru (până la data de 9 ianuarie 2021), ca urmare a constatărilor echipei de control din cadrul Ministerului Educației și Cercetării, din care rezultă că bursele profesionale trebuiau acordate elevilor, iar persoanele care se fac responsabile pentru neacordarea acestora să fie cercetate disciplinar.
Având în vedere concluziile/măsurile din Raportul de control, RUSET ADELA LELIA, Directorul Liceului Tehnologic Motru induce în eroare instituțiile statului şi opinia publică, prin prezentarea ca mincinoasă a unei fapte adevărate, pe site-ul Edupedu, publicând următoarea informație nereală: „Eu mi-am înaintat demisia în 2 octombrie 2020, pentru că așa am dorit, nu din ilegalități, cum sunt menționate în acel memoriu.”
În dovedire anexez:
– extras Raport de control cu măsurile dispuse privind cercetarea disciplinară a lui RUSET ADELA LELIA, Directorul Colegiului Tehnic Motru;
– print-screen cu site-ul Edupedu privind informția nereală oferită de RUSET ADELA LELIA, Directorul Liceului Tehnologic Motru. Față de cele prezentate, solicit să publicați pe site-ul Edupedu această informație reală.
Raportul Corpului de Control al Ministerului Educației:
