Părinții elevilor cu cerințe educaționale speciale, CES, trebuie să depună o cerere la secretariatul școlii, însoțită de documente justificative, pentru adaptarea condițiilor la simularea pentru Evaluarea Națională 2024 și/sau Evaluarea Națională 2024. Descarcă din articol modelul de cerere.
Mai multe inspectorate scoale au publicat termene pentru depunerea documentelor de către părinți, în Mureș se depun până pe 25 ianuarie, în județele Ilfov și Brașov cererile se depun până pe 26 ianuarie. Pentru data limită din scoala dumneavoastră întrebați la secretariat sau la inspectoratul școlar.
„Părinții depun cererea înainte de simularea examenelor naționale, dar nu mai târziu de data limită prevăzută în Calendarul de desfășurare al examenelor naționale, privind înscrierea absolvenților clasei a VIII-a la evaluarea națională/înscrierea absolvenților clasei a XII-a/a XIII-a la examenul național de bacalaureat.
Solicitarea se face în baza certificatului de orientare școlară și profesională/a certificatului de încadrare în grad de handicap/a certificatului A5 eliberat de medicul specialist/ a unei adeverințe medicale eliberate de medicul specialist din comisia medicală județeană/a municipiului București de orientare școlar-profesională.
În conținutul solicitării depuse în scris de către părinții/tutorii legal instituiți/reprezentanții legali ai elevilor/elevii majori cu deficiențe de vedere, deficiențe de auz, tulburări de neurodezvoltare, se menționează modalitatea de adaptare a condițiilor de examinare, în funcție de particularitățile individuale și de cele specifice deficienței.
Cererea înregistrată la unitatea de învățământ este valabilă atât pentru simularea examenelor naționale, cât și pentru examenele naționale”, conform procedurii de egalizare a șanselor pentru elevii cu deficiențe de vedere, de auz, tulburări specifice de învățare și de neurodezvoltare, publicată de Ministerul Educației.
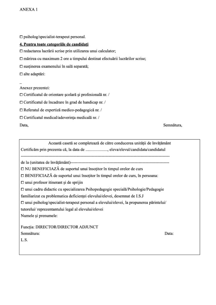
Model cerere pentru adaptarea condițiilor de examinare la Evaluarea Națională 2024
Documente necesare, care însoțesc cererea-tip, conform ISJ Ilfov:
1. Certificatul de orientare școlară și profesională/ certificatul de încadrare în grad de handicap/ adeverință medicală eliberată de comisia medicală județeană/a municipiului București de orientare școlară și profesională.
2. Certificatul A5 eliberat de către medicul specialist din care să reiasă explicit tipul de tulburare a învățării
3. Certificatul de naștere sau Cartea de identitate a elevului/candidatului
Calendarul simulării Evaluării Naționale 2024 pentru absolvenții clasei a VIII-a
- 5 februarie 2024: Limba şi literatura română – probă scrisă
- 6 februarie 2024: Matematică – probă scrisă
- 7 februarie 2024: Limba şi literatura maternă – probă scrisă
- 23 februarie 2024: Comunicarea rezultatelor
Calendar Evaluarea Națională 2024:
- 11 – 14 iunie 2024: Înscrierea la Evaluarea Națională
- 14 iunie 2024: Încheierea cursurilor pentru elevii de clasa a VIII-a
- 25 iunie 2024 – Proba scrisă la Limba română
- 27 iunie 2024 – Proba scrisă la Matematică
- 28 iunie 2024 – Proba scrisă la Limba maternă
- 3 iulie 2024 – Afișarea rezultatelor înaintea contestațiilor (până la ora 14:00)
- 3 iulie (orele 16 – 19) și 4 iulie 2024 (ora 08:00 – ora 12:00) – Depunerea contestațiilor
- 4 – 9 iulie 2024 – Soluționarea contestațiilor
- 9 iulie 2024 – Afișarea rezultatelor finale după soluționarea contestațiilor
