Rezultatele inițiale ale candidaților care au susținut sesiunea specială a examenului de Bacalaureat 2024 au fost publicate vineri, 31 mai, pe site-ul Inspectoratului Școlar Județean Prahova. 16 candidați au fost respinși. Contestațiile pot fi depuse în aceeași zi, de la ora 12 și până la ora 14.
Această sesiune este pentru absolvenții de liceu participanți la loturile olimpice și la competițiile sportive și artistice internaționale care se desfășoară în aceeași perioadă cu examenul național de Bacalaureat 2024.
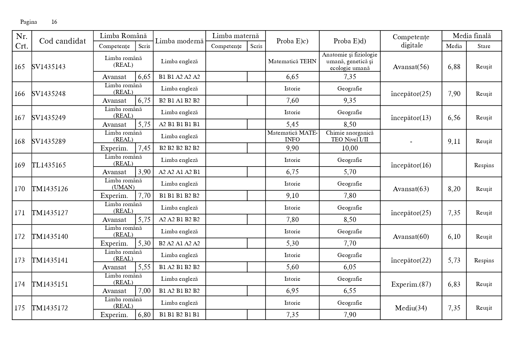
Examenul s-a ținut și anul acesta în Prahova, fiind înscriși 185 de candidați. Centrul de examen, potrivit informațiilor transmise de ISJ Prahova, a fost la Colegiul Național „Mihai Viteazul”, iar centrul de evaluare la Colegiul Național „Alexandru Ioan Cuza”, potrivit Observatorul Prahovean.
Condițiile pe care un elev trebuie să le îndeplinească pentru a promova examenul de Bacalaureat sunt:
- să-și fi echivalat sau recunoscuttoate probele de evaluare a competenţelor lingvistice şi digitale;
- să susţină toate probele scrise şi să obțină nota 5 (cel puțin) la fiecare dintre acestea;
- să obţină media generală 6 (cel puţin) la probele scrise.
Model de cerere de contestație
„Contestațiile se pot depune la centrul de examen sau pot fi transmise la adresa de email: contestatiibacspecial2024@gmail.com. Candidații care depun contestații completează și semnează cererea-tip. Contestațiile transmise electronic vor fi însoțite de o copie a actului de identitate și un număr de telefon necesar pentru confirmarea contestației.”, potrivit ISJ Prahova.
Luni, 27 mai, elevii de clasa a XII-a care s-au înscris la sesiunea specială a examenului de Bac 2024 au proba de evaluare a competențelor lingvistice de comunicare orală în limba română. Marți, 28 mai, a fost programată evaluarea competențelor lingvistice într-o limbă de circulație internațională. Competențele digitale ale elevilor au fost evaluate pe 29 mai.
Calendarul sesiunii speciale de Bacalaureat 2024
- 7-10 mai 2024: Înscrierea candidaților la sesiunea specială de examen
- 21 mai 2024: Limba și literatura română — proba E)a) — proba scrisă
- 22 mai 2024: Proba obligatorie a profilului — proba E)c) — proba scrisă
- 23 mai 2024: Proba la alegere a profilului și specializării — proba E)d — proba scrisă
- 24 mai 2024: Limba și literatura maternă — proba E)b) — proba scrisă
- 27 mai 2024: Evaluarea competențelor lingvistice de comunicare orală în limba română — proba A
- 28 mai 2024: Evaluarea competențelor lingvistice într-o limbă de circulație internațională — proba C
- 29 mai 2024: Evaluarea competențelor digitale — proba D
- 30 mai 2024: Evaluarea competențelor lingvistice de comunicare orală în limba maternă — proba B
- 31 mai 2024: Afișarea rezultatelor până la ora 12.00; Depunerea contestațiilor (între orele 12.00 și 14.00)
- 31 mai – 3 iunie 2024: Rezolvarea contestațiilor
- 4 iunie 2024: Afișarea rezultatelor finale
Elevii de clasa a XII-a au putut solicita echivalarea probelor scrise de Bacalaureat, dacă au obținut medalii pe parcursul liceului. Lista olimpiadelor școlare la nivel regional/european și internaționale a fost publicată de Ministerul Educației. Sunt cu 6 competiții mai puțin față de anul trecut, iar modificarea nu a fost anunțată pentru elevi și profesori și explicată de Ministerul Educației în vreun fel.
