Rezolvarea subiectelor pe care le-au primit elevii de la specializarea mate-info și științe ale naturii a fost făcută pentru Edupedu.ro de Florentina Pavăl, profesoară de matematică la Colegiul Național “Nicu Gane” din Fălticeni. Cadrul didactic a spus că subiectele au avut o dificultate medie.
Elevii au avut la dispoziție 3 ore pentru a rezolva subiectele.
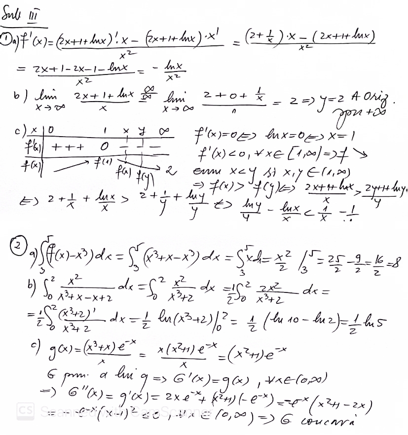
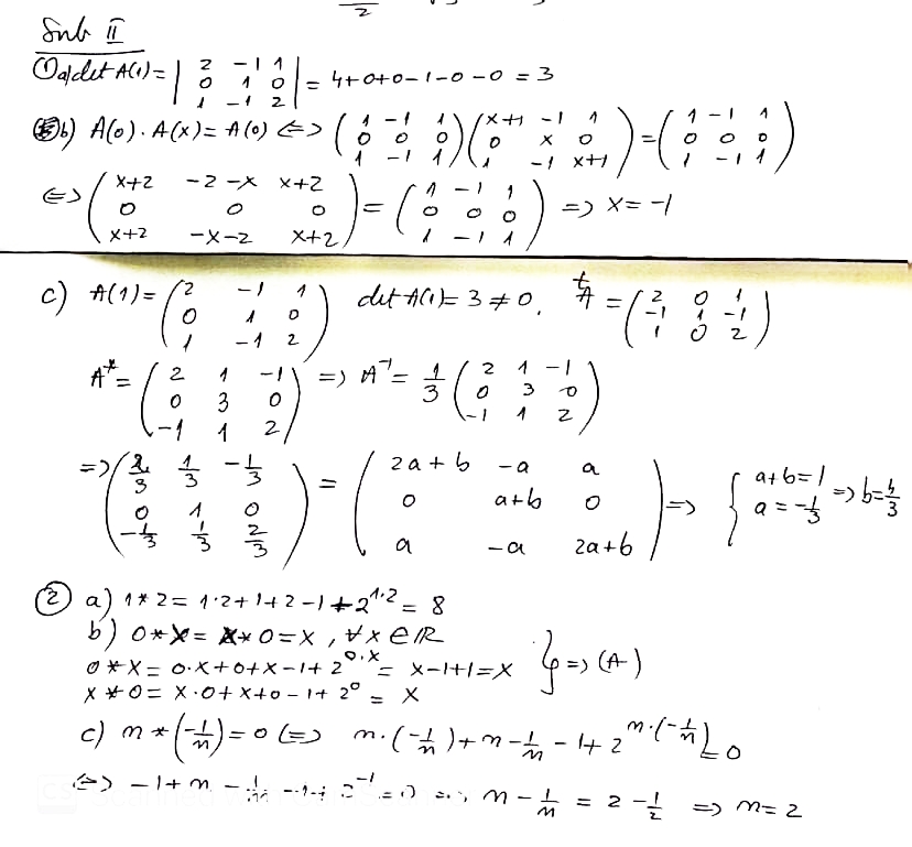
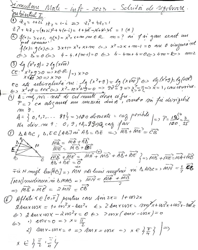
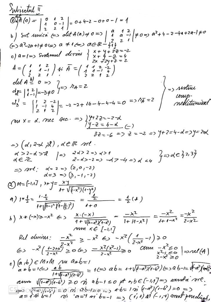
FOTO Vezi mai jos rezolvarea profesoarei Florentina Pavăl – mate-info:
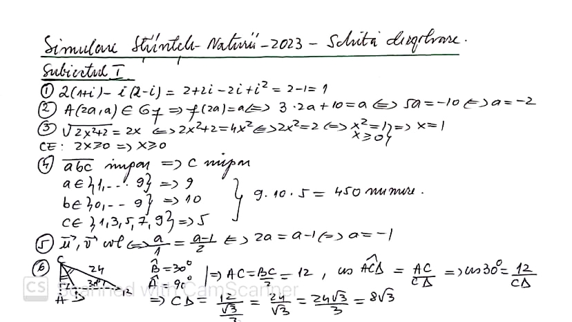
FOTO Rezolvarea profesoarei Florentina Pavăl – științe ale naturii:
Florentina Pavăl predă matematica de peste 30 de ani la Colegiul Național “Nicu Gane” din Fălticeni. Aceasta este cunoscută pe rețeaua de socializare TikTok drept “Profa de mate cool”, având un cont pe care postează videoclipuri explicative despre matematica de gimnaziu și de liceu. EduPedu.ro a realizat un interviu cu Florentina Pavăl în martie 2021.
Rezultatele obținute la simulare nu se contestă și nu se trec în catalog. Totuși, în situațiile excepționale în care se dorește consemnarea notelor în catalog, acest lucru se poate face în baza unei cereri scrise depuse de cei interesați, scrie pe edu.ro.
Foto: © Tero Vesalainen | Dreamstime.com / Dreamstime.com sprijină educaţia din România şi oferă gratuit imagini stock prin care Edupedu.ro îşi poate ilustra articolele cât mai relevant posibil / Campania Back to school oferă posibilitatea oricărei școli, profesor sau elev să descarce imagini de calitate cu 50% discount.
