Subiectele și baremele de corectare de la etapa județeană a olimpiadei de limba engleză (ONLE) 2024, organizată sâmbătă 16 martie, au fost obținute pe surse de Edupedu.ro. Documentele, care sunt unice la nivel național de cel puțin anul școlar trecut, pot fi descărcate mai jos din articol, pentru fiecare clasă în parte și nivel de studiu al limbii (secțiunea A – normal, secțiunea B – intensiv/bilingv).
Pe 16 martie s-a ținut etapa județeană – scris și pe 23 este proba orală pentru ONLE 2024. Faza națională ar urma să fie la Hunedoara, cu desfășurare în zilele 27 aprilie – 1 mai, potrivit calendarului de organizare a olimpiadelor 2024.
- Regulamentul Olimpiadei Naționale de Limba Engleză (ONLE) 2024 a fost republicat de Ministerul Educației la scurt timp după ce profesorii au contestat noile prevederi dintr-o variantă inițială care limita numărul de elevi care pot trece de etapa pe școală a ONLE.
16-17 martie este primul final de săptămână din anul 2024 cu mai multe olimpiade naționale școlare – fazele județene, când au loc olimpiadele de Geografie, Istorie, Limba engleză – proba scrisă, „Lectura ca abilitate de viață” (OLAV), Biologie și altele câteva. Edupedu.ro va publica subiectele de la aceste probe pe măsură ce sunt afișate online de școlile – centru de concurs organizatoare sau de Ministerul Educației la secțiunea dedicată. Până în momentul publicării articolului, acestea nu au fost afișate pe subiecte.edu.ro.
- Profesorii de limba română și engleză au fost anunțați vineri după-amiază, 15 martie, că elevii care participă la Olimpiada de limba engleză sâmbătă pot participa și la Olimpiada „Lectura ca abilitate de viață”, dacă vor acest lucru, putând să susțină proba la OLAV în aceeași școală, de la 12:30 sau 13:30, în funcție de clasa în care sunt. Potrivit mai multor profesori consultați de Edupedu.ro și după probe, în cele mai multe centre de concurs acest lucru nu a fost posibil.
REZULTATE Inițiale ONLE 2024 Etapa pe județ
Mai multe centre de concurs au publicat rezultatele inițiale ale elevilor sâmbătă seară. Acestea pot fi contestate până luni inclusiv în cazul celor mai multe județe, pe adresele de mail anunțate de fiecare centru de concurs sau la secretariatul școlii – centru de concurs. În cel de-al doilea caz, elevul trebuie să fie însoțit de un părinte
Redăm rezultatele inițiale din centrele județene de concurs care le-au afișat online până la momentul publicării articolului, pe site-ul centrului de concurs sau al Inspectoratului școlar:
- Rezultate ONLE 2024 Etapa pe județ Arad
- Rezultate ONLE 2024 Etapa pe județ Bacău
- Rezultate ONLE 2024 Etapa pe județ Botoșani
- Rezultate ONLE 2024 Etapa Județeană Călărași
- Rezultate ONLE 2024 Etapa Județeană Cluj + model cerere contestație + anunț contestații
- Rezultate ONLE 2024 Etapa Județeană Constanța
- Rezultate ONLE 2024 Etapa Județeană Covasna
- Rezultate ONLE 2024 Etapa Județeană Dâmbovița + model cerere contestație
- Rezultate ONLE 2024 Etapa Județeană Dolj
- Rezultate ONLE 2024 Etapa Județeană Iași + model cerere contestație
- Rezultate ONLE 2024 Etapa Județeană Maramureș
- Rezultate ONLE 2024 Etapa Județeană Tulcea
DOCUMENTE DESCARCĂ Subiecte și bareme de la ONLE 2024 – etapa județeană (după documentul foto urmează și varianta .pdf):
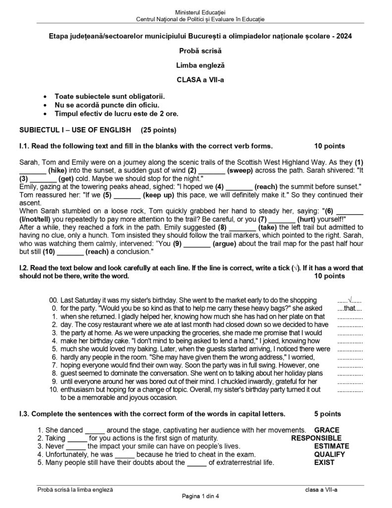
Subiect Clasa a VII-a:
Barem Clasa a VII-a:
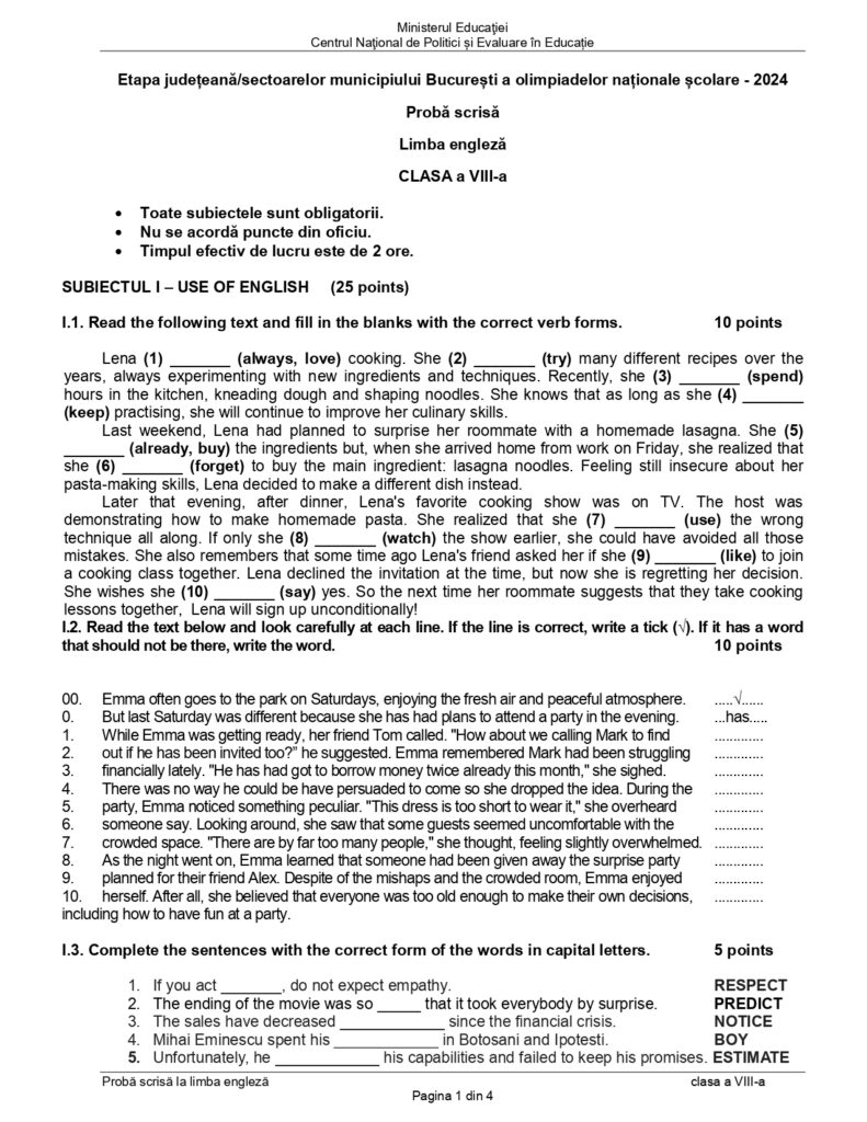
Subiect Clasa a VIII-a:
Barem Clasa a VIII-a:
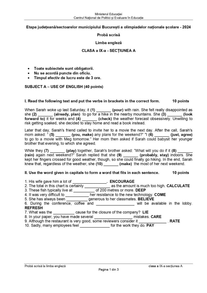
Subiect Clasa a IX-a A:
Barem Clasa a IX-a A:
Subiect Clasa a IX-a B:
Barem Clasa a IX-a B:
Vezi și:
- Olimpiada de limba engleză 2024. Subiecte și bareme de corectare de la etapele locale din județul Argeș, publicate de Colegiul „Vlaicu Vodă” – descarcă
- Olimpiada de limba engleză 2024. Subiecte și bareme de corectare pentru clasele VII-VIII de la etapele locale din județul Suceava – descarcă
Subiect Clasa a X-a A:
Barem Clasa a X-a A:
Subiect Clasa a X-a B:
Barem Clasa a X-a B:
Subiect Clasa a XI-a A:
Barem Clasa a XI-a A:
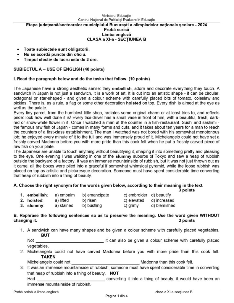
Subiect Clasa a XI-a B:
Barem Clasa a XI-a B:
Subiect Clasa a XII-a A:
Barem Clasa a XII-a A:
Subiect Clasa a XII-a B:
Barem Clasa a XII-a B:
Context. Al doilea an în care se publică subiectele și baremele de la etapele județene, după articolele Edupedu.ro
Până la data publicării articolului, au fost publicate de Ministerul Educației în pagina dedicată de pe subiecte.edu.ro subiectele și baremele de la olimpiadele școlare naționale – etapele județene de Limba română (OLLR), Matematică (ONM), Fizică (ONF) și concursul „Adolf Haimovici” 2024. Documentele au fost afișate online recent, după ce Edupedu.ro a semnalat zilele trecute faptul că Ministerul Educației nu a mai actualizat pagina cu subiectele de olimpiade pentru acest an.
Acestea sunt olimpiadele care au deschis calendarul competițiilor școlare naționale la început de lună și avut loc în finalurile de săptămână trecute, pe 2, 9 sau 10 martie. Edupedu.ro a prezentat până acum subiectele și baremele – la Fizică, Limba și literatura română (OLLR), Matematică, dar și de la mai multe etape locale – vezi Limba engleză, Limba română gimnaziu și Limba română liceu, Matematică, Limba engleză.
Amintim că prima dată când Ministerul Educației a publicat centralizat subiectele și baremele pentru elevi și profesorii care îi pregătesc, elaborate la nivel național de un an, a fost în anul școlar trecut, 2022-2023. Decizia Ministerului Educației de a debloca documentele a venit după solicitarea Edupedu.ro și un articol despre secretizarea acestor resurse elaborate cu bani publici.
Articolele Edupedu.ro despre organizarea și desfășurarea olimpiadelor școlare 2024 pot fi citite în secțiunea dedicată.
