Elevii de clasa a XII-a din județul Constanța au susținut în perioada 10-12 aprilie a treia simulare pentru examenul de Bacalaureat 2024, organizată de Inspectoratul Școlar Județean (ISJ) Constanța, care a transmis la solicitarea Edupedu.ro subiectele pe care le-au avut de rezolvat elevii și baremele la proba de Matematică.
- ISJ Constanța a publicat în aprilie și teste de antrenament pentru Bacalaureat 2024, la Limba și Literatura Română, Matematică, Istorie, Logică și alte discipline.
Amintim că în analiza pe itemi după simularea examenului de Bacalaureat, Ministerul Educației le recomandă elevilor ca acțiuni remediale să urmărească lecțiile Teleșcoala și să exerseze pe teste de antrenament din anii trecuți, la aproape toate disciplinele. Instituția nu a mai publicat însă teste de antrenament de la BAC 2023 inclusiv.
- Simulare Bacalaureat 2024. Subiectele la limba și literatura română pe care le-au avut de rezolvat elevii din județul Constanța și baremele
Subiecte simulare Bac 2024, pentru specializarea mate-info, Constanta:
Baremul pentru specializarea mate-info, simulare Bac 2024, Constanta:
Subiectele pentru specializarea științe ale naturii:
Baremul pentru specializarea științe ale naturii:
Subiectele pentru filiera tehnologică:
Baremul pentru filiera tehnologică:
Subiectele pentru profilul pedagogic:
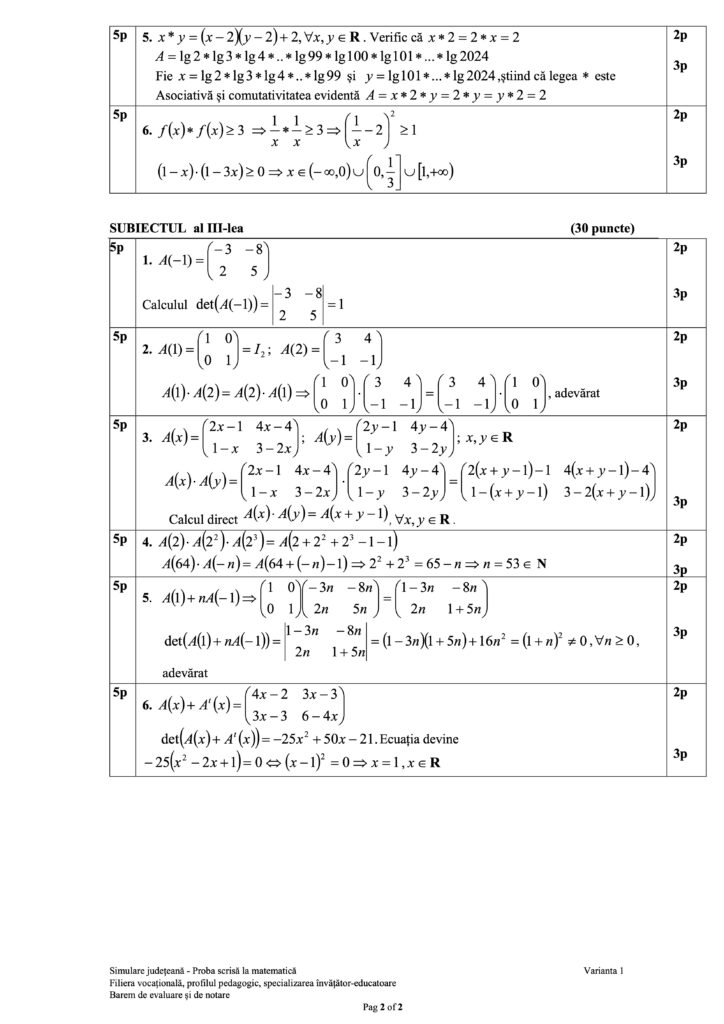
Baremul pentru profilul pedagogic:
3 – 7 iunie 2024: Înscrierea candidaților la prima sesiune de examen
7 iunie 2024: Încheierea cursurilor pentru clasa a XII-a/a XIII-a
- 17 – 19 iunie 2024: Evaluarea competențelor lingvistice de comunicare orală în limba română – proba A
- 19 – 20 iunie 2024: Evaluarea competențelor lingvistice de comunicare orală în limba maternă – proba B
- 19 – 21 iunie 2024: Evaluarea competențelor digitale – proba D
- 25 – 27 iunie 2024: Evaluarea competențelor lingvistice într-o limbă de circulație internațională – proba C
- 1 iulie 2024: Limba și literatura română – proba E.a) – proba scrisă
- 2 iulie 2024: Proba obligatorie a profilului – proba E.c) – proba scrisă
- 4 iulie 2024: Proba la alegere a profilului și specializării – proba E.d) – proba scrisă
- 5 iulie 2024: Limba și literatura maternă – proba E.b) – proba scrisă
8 iulie 2024: Afișarea rezultatelor la probele scrise până la ora 12.00) și depunerea contestațiilor în intervalul orar 12.00 – 18.00
9 – 11 iulie 2024: Rezolvarea contestațiilor
12 iulie 2024: Afișarea rezultatelor finale
