Grilele de la examenul de admitere la Facultatea de Drept a Universității din București (UB), de miercuri, 23 iulie, au fost publicate de organizatori pe site-ul dedicat. Candidații au avut de rezolvat una din cele patru variante de grile date în acest an.
1304 de candidați s-au înscris să susțină concursul pe bază de examen, iar 17 pe bază de dosare de elevi olimpici, potrivit datelor de pe pagina de admitere.
Candidații concurează pe 284 de locuri la buget și 294 de locuri la taxă, la învățământ cu frecvență. Alte 3 locuri, la buget, sunt pentru cetățenii români de etnie romă, 9 locuri la buget – pentru absolvenți de licee situate în mediul rural, 2 tot la buget pentru cei din sistemul de protecție socială, 2 locuri pentru candidații cu cerințe educaționale speciale/ dizabilități. 6 locuri sunt pentru românii de pretutindeni.
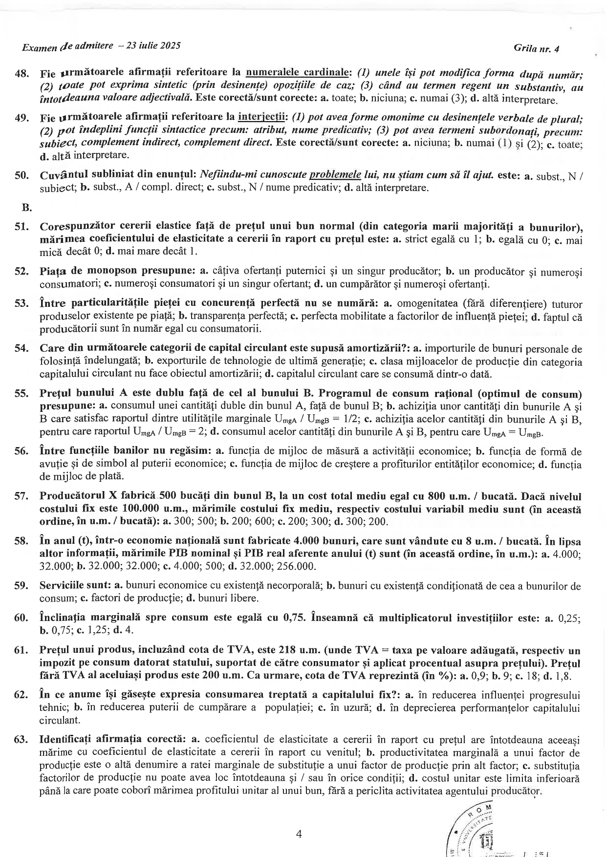
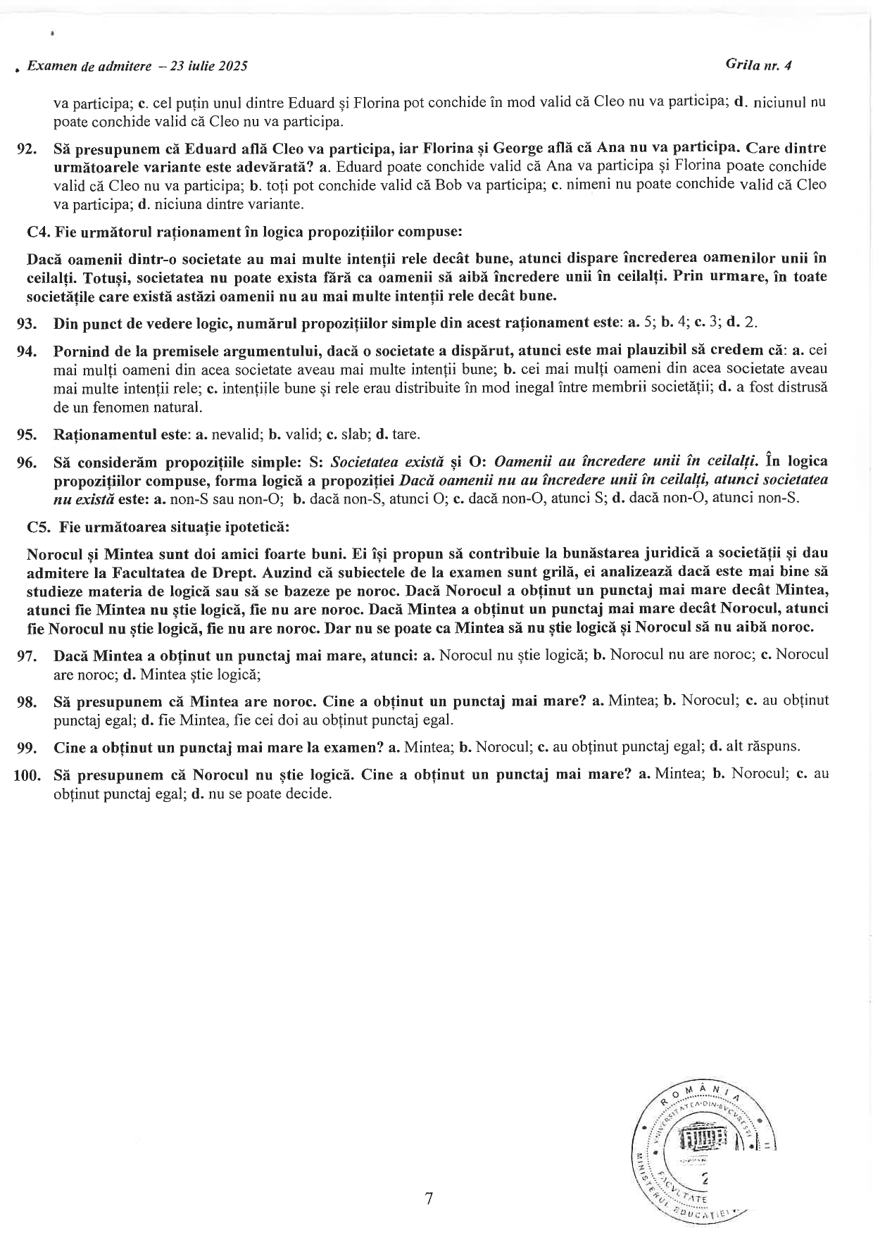
Candidații au avut de rezolvat 100 de întrebări grilă la limba română, economie și gândire critică, în 4 ore. 50 de subiecte au fost la limba română, 30 la economie și 20 la gândire critică, se arată în regulamentul de concurs.
Edupedu.ro redă mai jos subiectele de la concursul de Admitere la Drept – UB 2025, variantele 1-4.
Subiect Grilă – Varianta 1:







Barem Grilă – Varianta 1:

Subiect Grilă – Varianta 2:







Barem Grilă – Varianta 2:

Subiect Grilă – Varianta 3:







Barem Grilă – Varianta 3:

Subiect Grilă – Varianta 4:







Barem Grilă – Varianta 4:
