Cele două hotărâri de guvern aprobat în ședința de vineri, 8 septembrie, au fost publicate în Monitorul Oficial și au intrat astfel în vigoare reducerile și beneficiile pentru transportul elevilor și al studenților prevăzute în noile legi ale Educației. Întârzierea actelor normative a provocat sistarea, săptămâna aceasta, de către mai mulți operatori, a acordării reducerilor pe transportul feroviar pentru studenți.
Elevii au gratuitate pe transportul local, feroviar și cu metroul și apare un mecanism birocratic și mai complicat pentru transportul județean în cazul acestora, prin HG 810/2023. Suma forfetară, acordată anul trecut pentru toți elevii navetiști, este acum condiționată de existența transportului public în localitatea de domiciliu și de faptul că elevul trebuie să dovedească că nu poate fi înmatriculat în localitatea de domiciliu.
Pe scurt, prevederile HG 810/2023:
- Elevii beneficiază de gratuitate pentru transportul feroviar intern la toate categoriile de trenuri, clasa a II-a, pe tot parcursul anului școlar.
- De la data începerii anului școlar și până la data de 30 septembrie inclusiv, elevii pot călători în baza carnetului/legitimației de elev sau a adeverinței vizate pentru anul școlar anterior.
- În cazul achiziționării mai multor titluri de călătorie în aceeași zi, pentru călătoria cu același tren sau pentru relații de călătorie diferite în același timp de către aceeași persoană, contravaloarea călătoriilor suplimentare se va imputa elevului sau reprezentantului său legal.
- Elevii din învățământul preuniversitar acreditat/autorizat, inclusiv cei înmatriculați în cadrul unităților de învățământ preuniversitar înscrise în Registrul special al unităților de învățământ preuniversitar care funcționează după un curriculum străin, beneficiază de gratuitate pentru transportul cu metroul, pe bază de abonament lunar, pe tot parcursul anului școlar.
- În primele 30 de zile de la începerea anului școlar se va accepta carnetul de elev vizat pentru anul școlar anterior sau adeverința emisă de unitatea de învățământ pentru anul școlar în curs, pentru eliberarea abonamentului lunar gratuit.
- Elevii primesc acces la bordul navelor operatorilor de transport care efectuează serviciu public de transport persoane pe căile navigabile interioare, pe baza titlului de călătorie în format fizic, în original, cu excepția celor emise pe suport digital, și a unuia dintre următoarele documente:
a) cardul național de elev valabil;
b) carnetul sau legitimația de elev emis/emisă de unitatea de învățământ de apartenență; carnetul/legitimația de elev conține minimum următoarele elemente: numele și prenumele elevului, CNP-ul elevului, numărul matricol, viza pentru anul școlar în curs;
c) adeverința emisă de unitatea de învățământ de apartenență.
Pentru transportul public local și metropolitan, județean și interjudețean:
- Părintele/Reprezentantul legal/Elevul major solicită unității de învățământ, în scris, letric sau online, în primele 5 zile lucrătoare de la începutul anului școlar, traseul și operatorul de transport folosit. Solicitarea trebuie să cuprindă următoarele date:
a) numele și prenumele elevului;
b) CNP;
c) adresa de domiciliu de la care se deplasează zilnic către unitatea de învățământ, adresă care trebuie să coincidă cu adresa cu care elevul este înregistrat în Sistemul informatic integrat al învățământului din România;
d) traseul pe care circulă de la domiciliu la unitatea de învățământ și de la unitatea de învățământ către domiciliu;
e) distanța în kilometri dintre localitatea de domiciliu și localitatea în care se află unitatea de învățământ;
f) operatorul de transport folosit și tipul transportului executat, respectiv local, metropolitan, județean, interjudețean.
- Pot depune solicitări elevii sau reprezentanții legali ai acestora doar dacă nu există asigurat transport public local, inclusiv metropolitan, între localitatea de domiciliu și localitatea în care se află unitatea de învățământ.
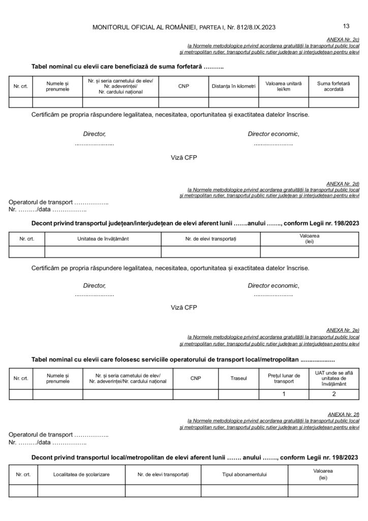
FOTO DOCUMENT Hotărârea de Guvern care aprobă normele metodologice privind transportul elevilor din 8 septembrie 2023:
Principalele prevederi din HG 811/2023 – transportul cu metroul și trenul pentru studenți:
- Articol în curs de actualizare
