Profesoara Florentina Pavăl de la Colegiul Național “Nicu Gane” din Fălticeni a rezolvat pentru Edupedu.ro subiectele la Matematică pentru specializarea Matematică-Informatică de la BAC 2023. Astăzi, 27 iunie, elevii de clasele a XII-a și a XIII-a au susținut proba obligatorie a profilului.
UPDATE: BAC 2023 Baremul de corectare de la Matematică – Mate-Info a fost publicat de Ministerul Educației
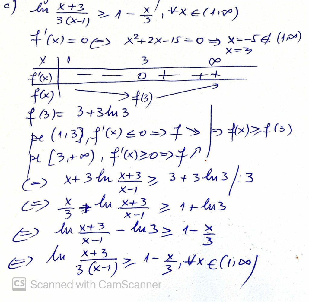
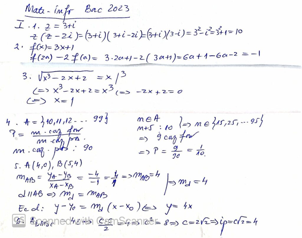
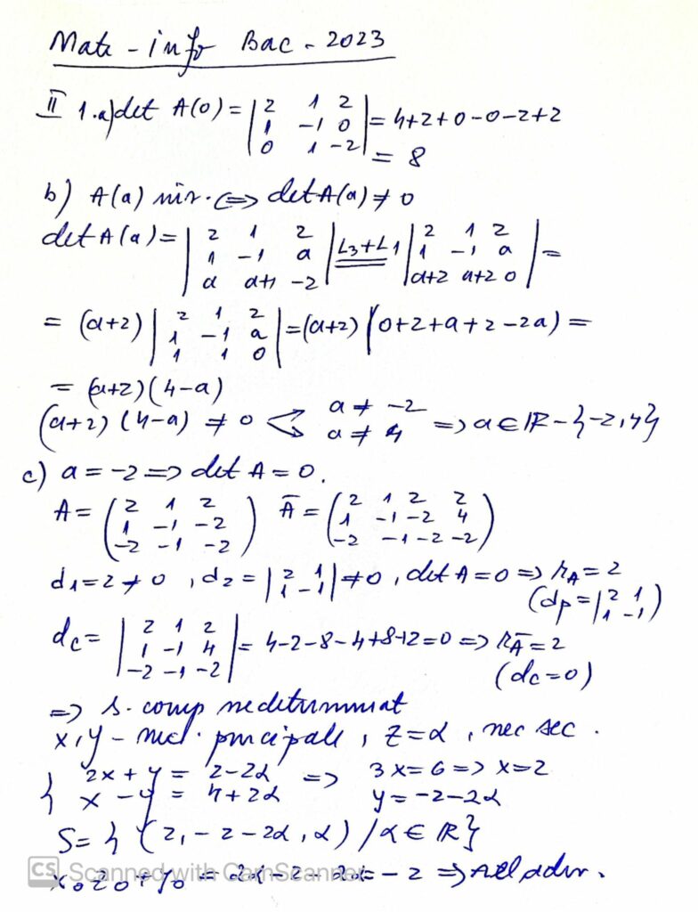
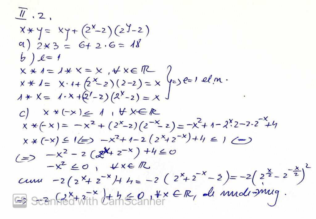
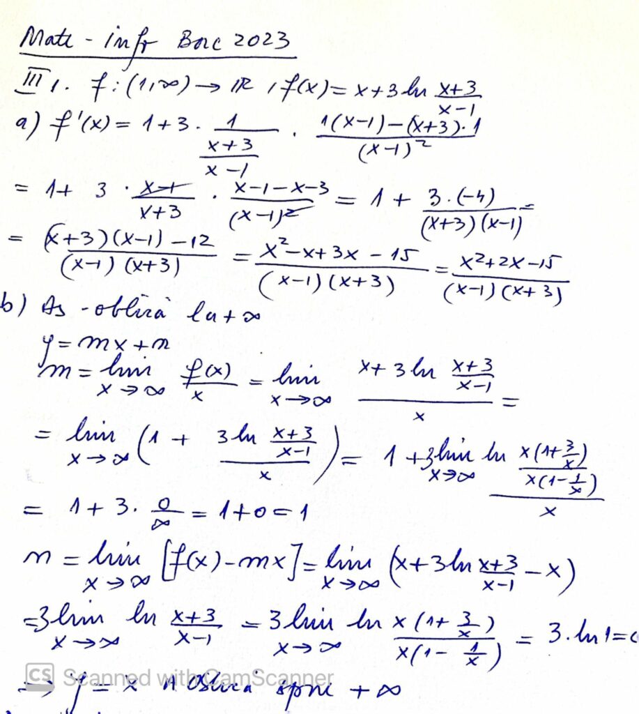
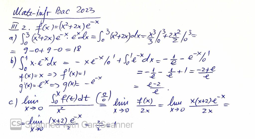
Vezi aici subiectele primite de candidații de la specializarea Matematică – Informatică. Elevii au avut la dispoziție 3 ore pentru rezolvarea subiectelor, iar proba a început la ora 9.
Vezi aici subiectele primite de elevi la BAC 2023 Matematică, Mate – Info, obținute de Edupedu.ro.
”Au fost subiecte de nivel mediu și cu enunțuri previzibile”, a spus profesoara pentru Edupedu.ro.
- Florentina Pavăl predă matematica de peste 30 de ani la Colegiul Național “Nicu Gane” din Fălticeni. Aceasta este cunoscută pe rețeaua de socializare TikTok drept “Profa de mate cool”, având un cont pe care postează videoclipuri explicative despre matematica de gimnaziu și de liceu, dar și pe Youtube.
