Baremele de corectare și notare pentru proba scrisă de Limba și literatura română, de la simularea Evaluării Naționale 2025, au fost publicate de Ministerul Educației la ora 15:00.
Elevii de clasa a VIII-a au susținut luni, 17 martie, proba scrisă la Limba și literatura română din cadrul simulării pentru Evaluarea Națională 2025, potrivit calendarului oficial. Conform procedurii, probele din cadrul simulării naționale încep la ora 9:00, moment în care, în fiecare sală, se deschid plicurile sigilate care conțin subiectul multiplicat. Timpul de lucru este de 2 ore, ceea ce înseamnă că, la ora 11, proba s-a încheiat.
Elevii de clasa a VIII-a au primit două texte la prima vedere la simularea probei de Limba și literatura română de la Evaluarea Națională 2025, potrivit subiectelor consultate de Edupedu.ro. Primul text este poezia „Trezire” de Lucian Blaga, iar al doilea este din articolul jurnalistei Cristina Ștefan „Rezistența prin apicultură”, publicat în Dilema veche în 2017.
Baremele și subiectele sunt următoarele:



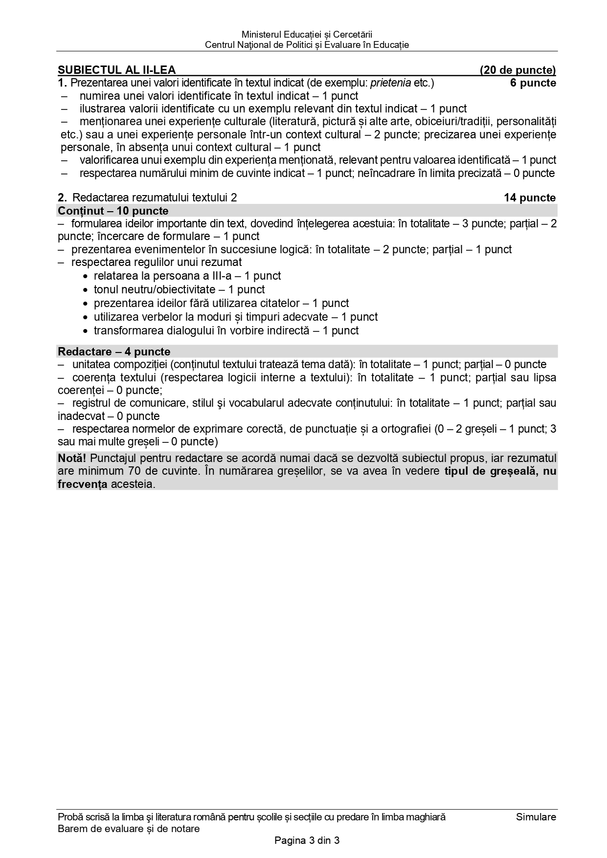
Barem Limba și literatura română pentru școlile și secțiile cu predare în limba maghiară:



Subiect Limba și literatura română pentru școlile și secțiile cu predare în limba maghiară:
Marți, 18 martie, are loc proba scrisă la Matematică, iar miercuri se este programată proba la Limba maternă.
Rezultatele simulării vor fi comunicate individual pe 31 martie. Acestea vor fi analizate în cadrul fiecărei școli prin discuții cu elevii, ședințe cu părinții și în consiliile profesorale, urmărindu-se adoptarea unor măsuri de sprijin pentru îmbunătățirea performanțelor.
Notele nu vor fi trecute în catalog, cu excepția cazurilor în care elevii sau părinții solicită acest lucru în scris.
2 comments
Mă interesează nota
Buna ziua, la subiectul I, punctul 5 textul al II lea, primul enunt cel care incepe cu ” la nivel european” este fals si nu adevarat cum se arata in barem. In text se face referire la faptul ca Romania in 2015 a fost pe primul loc din Uniunea Europeana la productia de miere si nu la nivel european. Sintagma la nivel european cuprinde toate tarile europei, iar in uniunea europeana regasim un numar mai mic de tari din europa.