Baremele de corectare și notare pentru testele de antrenament, setul 5, Evaluarea Națională 2022, au fost publicate

19.432 de vizualizări
Baremele de corectare și notare pentru testele de antrenament, setul 5, Evaluarea Națională 2022 au fost publicate vineri de Centrul Național de Politici și Evaluare în Educație. Documentele sunt corespondente testelor publicate luni, 23 mai.
  • Testele de antrenament din setul 5 pot fi descărcate de aici.

Baremul testului 5 pentru Limba și literatura română:

Baremul testului 5 pentru Limba română pentru școlile cu predare în limba maghiară:

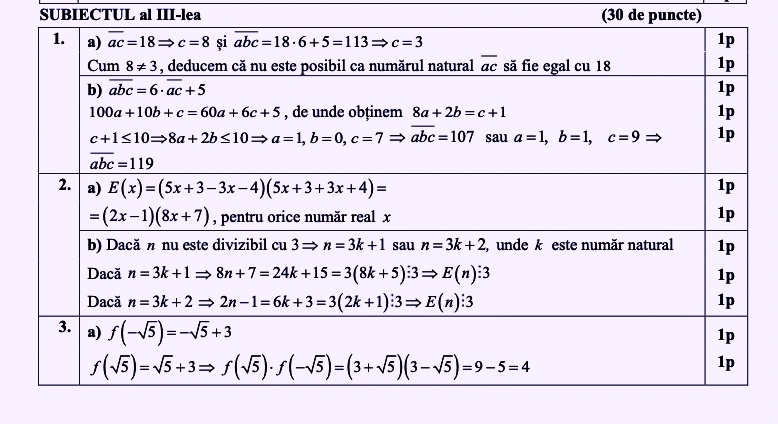
Baremul testului 5 pentru Matematică:

Baremul testului 5 pentru Limba maternă maghiară:


Lasă un răspuns

Adresa ta de email nu va fi publicată. Câmpurile obligatorii sunt marcate cu *

You May Also Like

Modificări în proiectul de calendar de Evaluare Națională și BAC 2025: zi liberă după fiecare examen la clasa a VIII-a și zi liberă după probele la Română și Matematică/Istorie la clasa a XII-a, anunțate de secretarul de stat Lixandru

Modificări în proiectul de calendar de Evaluare Națională și BAC 2025, pus în consultare de Ministerul Educației. Va exista o zi liberă după fiecare examen la clasa a VIII-a și…
Vezi articolul

Ministrul Andronescu s-a implicat în subiectele de la Evaluarea Națională: M-am asigurat că nu au un grad de dificultate foarte ridicat. Aștept ca rezultatele să-i mulțumească pe elevi și pe părinți

Ministrul educației a declarat că s-a implicat în subiectele de la Evaluarea Națională. Ecaterina Andronescu a spus într-un interviu pentru Kanal D că „s-a asigurat” că subiectele „nu au un…
Vezi articolul